Volver al portal
Servicio Agrícola y Ganadero
Normativas SAG
  • Inicio

  • Búsqueda de Documentos
  • La palabra ingresada busca en el contenido de la norma

  • *
  • { Búsqueda Avanzada }
  • Cerrar
  • Búsqueda Avanzada
  • Palabra o frase
  • Todas
    Exacta
    Algunas
  • Tipo de Norma
  • Número (sin puntos)
  • Organismo
  • Fecha de Publicación
  • De *
  • A   *
  • Fecha de Promulgación
  • De *
  • A   *
  • Buscar en
  • Última Versión
    Texto Original
  • Limpiar Buscar
  •  Ingreso de Usuario

FIJA LA TABLA DE COSTOS PARA EL AÑO 2022, DE LAS ACTIVIDADES QUE SE BONIFICARÁN EN EL MARCO DEL SISTEMA DE INCENTIVO PARA SUSTENTABILIDAD AGROAMBIENTAL DE LOS SUELOS AGROPECUARIOS Y DEROGA DECRETO QUE INDICA

MINISTERIO DE AGRICULTURA
Decreto  88 EXENTO
Última Versión
13/03/2023
Derogado
05/11/2022
05/09/2022
    • Imprimir
  • Texto
  • Versiones
  • Modificaciones
  • Documentos
FIJA LA TABLA DE COSTOS PARA EL AÑO 2022, DE LAS
ACTIVIDADES QUE SE BONIFICARÁN EN EL MARCO DEL SISTEMA DE
INCENTIVO PARA SUSTENTABILIDAD AGROAMBIENTAL DE LOS SUELOS
AGROPECUARIOS Y DEROGA DECRETO QUE INDICA 

     Núm. 88 exento.- Santiago, 5 de septiembre de 2022. 

     Visto: 

     Lo dispuesto en el artículo 32 Nº 6, de la
Constitución Política de la República; el DFL Nº 294, de
1960, del Ministerio de Hacienda, que establece funciones y
estructura del Ministerio de Agricultura; la Ley Nº 21.395,
sobre Presupuestos del Sector el Público para el año 2022;
la Ley Nº 20.412, que establece un Sistema de Incentivos
para la Sustentabilidad Agroambiental de los Suelos
Agropecuarios; el decreto Nº 51, de 2011, del Ministerio de
Agricultura, que fija el Reglamento de la ley Nº 20.412; y
la resolución Nº 7, de 2019, de la Contraloría General de
la República. 

     Considerando: 

     Que, mediante la glosa 08, de la Partida 13, de la Ley
Nº 21.395, sobre Presupuestos del Sector Público para el
año 2022, se prorrogó hasta el 31 de diciembre de la
presente anualidad, lo señalado en el artículo primero de
la Ley Nº 20.412, que establece un Sistema de Incentivos
para la Sustentabilidad Agroambiental de los Suelos
Agropecuarios. 
     Que, el referido Sistema de Incentivos para la
Sustentabilidad Agroambiental de los Suelos Agropecuarios,
tiene como objetivosla recuperación del potencial
productivo de los suelos agropecuarios degradados y la
mantención de los niveles de mejoramiento alcanzados. 
     Que, por su parte, el artículo 3º de la Ley Nº
20.412, dispone que el Sistema de Incentivos por ella
establecido, consistirá en una bonificación estatal de los
costos netos de las actividades bonificables consignadas y
definidas en dicha ley, señalando en su inciso final que
los valores de las actividades que se bonificarán serán
fijados en una Tabla de Costos que se establecerá en forma
anual. 
     Que, a su vez, respecto de la Tabla de Costos indicada
precedentemente, la glosa 03, de la Partida 13, de la Ley
Nº 21.395, sobre Presupuestos del Sector el Público para
el año 2022, estableció que la misma será fijada mediante
decreto expedido bajo la fórmula "Por orden del Presidente
de la República", visado por la Dirección de Presupuestos
del Ministerio de Hacienda. 
     Que, por su parte, la materia relativa a Fijación de
la Tabla de Costos para la Bonificación del Sistema de
Incentivos establecido por la Ley Nº 20.412, es de aquellas
que se encuentran exentas del Trámite de Toma de Razón,
acorde con lo dispuesto en la resolución Nº 7, de 2019, de
la Contraloría General de la República, que fija normas
sobre exención de dicho trámite. 
     Que, a fin de operativizar el Sistema de Incentivos
establecido por la Ley Nº 20.412, es necesario fijar la
Tabla de Costos para el año 2022, de los valores de las
actividades que se bonificarán, en el marco del Sistema de
Incentivo para Sustentabilidad Agroambiental de los Suelos
Agropecuarios. 

     Decreto: 
 
     1. Fíjase la siguiente Tabla de Costos para el año
2022, que establece los valores de las actividades que se
bonificarán en el marco del Sistema de Incentivos para la
Sustentabilidad Agroambiental de los Suelos Agropecuarios,
las especificaciones técnicas generales y los niveles
mínimos técnicos de las prácticas asociadas: 

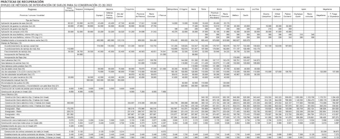
     PRÁCTICAS DE RECUPERACIÓN 

     I INCORPORACIÓN DE FERTILIZANTES DE BASE FOSFORADA. 

     (1) Aplicación de fósforo (kg P2 O5 ): Tiene por
objeto incentivar el uso de una dosis de fertilización
fosforada de recuperación en suelos deficitarios. El precio
para la unidad de fósforo (P) corresponde al valor del kg
de P2 O5 calculado sobre la base del precio de la unidad de
fósforo más barata del mercado. El agricultor podrá
emplear el fertilizante fosfatado (soluble en agua) que
desee, no obstante, el valor de la unidad de P será siempre
el definido en la tabla anual de costos.

     II INCORPORACIÓN DE ELEMENTOS QUÍMICOS ESENCIALES. 

     (2) Enmiendas calcáreas (kg CaCO3 ): Consiste en la
aplicación de materiales calcáreos al suelo con el fin de
disminuir la acidez o reducir la toxicidad de Aluminio. Para
la determinación de la cantidad de producto comercial a
aplicar (equivalente a la dosis de CaCO3 comprometida en el
plan de manejo) se deberá considerar el "Valor Agronómico"
(VA) de dicho producto. Este utiliza para su cálculo el
valor de neutralización, el contenido de humedad y la
eficiencia relativa según el grado de molienda. Al
respecto, se considerará una eficiencia del 100% si la
finura del producto es de mínimo 100 mesh, 60% si su finura
está entre 20 y 60 mesh, 20% si su finura está entre 8 y
19 mesh y 0% si su finura es inferior a 8 mesh. 
     (3) Aplicación de potasio (kg K2 O): Tiene por objeto
incentivar el uso de una dosis de fertilización potásica
de recuperación en suelos deficitarios. 
     (4) Aplicación de azufre (kg S): Tiene por objeto
incentivar el uso de una dosis de fertilización azufrada de
recuperación en suelos deficitarios. 
     (5) Enmienda ácida: Tiene por objeto corregir suelos
que presenten problemas de exceso de sodio y/o sales, donde
la dosis de las enmiendas varía según tipo de suelo. Se
requiere análisis químico de suelo para la determinación
de los siguientes parámetros: 

     RAS: Relación de Adsorción de Sodio. 
     PSI: Porcentaje de Sodio Intercambiable. 
     CE: Conductividad Eléctrica 
     PH: Medido en agua. Este parámetro es solo
referencial. 

     El material a utilizar como enmienda puede ser sulfato
de calcio o ácido sulfúrico, según región. 

     En las siguientes tablas se detallan las
especificaciones por región y tipo de suelo. 

     a) Regiones de Arica y Parinacota y de Tarapacá

     b) Regiones de Antofagasta y de Atacama

     III ESTABLECIMIENTO DE UNA CUBIERTA VEGETAL EN SUELOS
DESCUBIERTOS O CON COBERTURA DETERIORADA. 

     (6) Establecimiento de praderas (ha): Tiene por objeto
el establecimiento de especies leguminosas y/o gramíneas en
suelos degradados, con el objeto de dar cobertura permanente
a éste y proporcionar alimentación animal. Para el caso de
establecimiento de praderas sin preparación de suelo,
consideradas para la provincia de Palena y comuna de
Cochamó (Región de Los Lagos) y Región de Magallanes y de
la Antártica Chilena, éstas serán establecidas a
continuación de un cultivo anual que deje un suelo mullido
y en condiciones adecuadas para la germinación y emergencia
de las semillas forrajeras a establecer. Se entenderá por
cobertura permanente, el establecimiento de especies o
mezclas de éstas, que al menos tengan una duración
vegetativa de 3 años o más. 
     (7) Regeneración de praderas (ha): Tiene por objeto la
regeneración de especies leguminosas y/o gramíneas en
praderas con algún grado de deterioro, con el objeto de
recuperar la cobertura de ésta y proporcionar alimentación
animal.

     IV EMPLEO DE MÉTODOS DE INTERVENCIÓN DEL SUELO, ENTRE
OTROS, ROTACIÓN DE CULTIVOS, ORIENTADOS A EVITAR SU
PÉRDIDA Y EROSIÓN, Y A FAVORECER SU CONSERVACIÓN. 

     (8) Aplicación de guanos (ton): Implica la
distribución e incorporación al suelo de un mínimo de 12
ton/ha de guano maduro o semimaduro en estado sólido o
pastoso. Se entiende por guano a los subproductos de la
ganadería que incluye excrementos animales y material de
cama transformado, en donde no es posible identificar en
ellos la composición de la cama y de las deyecciones debido
al alto nivel de fermentación. 
     En relación con el almacenamiento, transporte y
aplicación del guano, deberán respetarse los criterios de
manejo de guano establecidos en el documento vigente "Pauta
Técnica para la Aplicación de Guano", elaborado por la
División de Recursos Naturales Renovables del Servicio
Agrícola y Ganadero. 
     Además, se deberá demostrar que la aplicación de
guano no producirá contaminación por Nitrógeno, para lo
cual el cálculo de la dosis de guano a aplicar deberá
estar fundamentado a través de la metodología propuesta en
el documento antes mencionado. 
     Lo señalado en el párrafo anterior no se aplicará
para las Regiones de Arica y Parinacota, de Tarapacá, de
Antofagasta y de Atacama, dado que sus características
edafoclimáticas, así como sus sistemas productivos y los
rendimientos promedios obtenidos, no permiten la
utilización de la metodología propuesta en dicho
documento.Aconsecuencia de lo anterior, la dosis a aplicar
será de hasta 24 ton/ha, la que deberá ser debidamente
justificada en el Informe Técnico respectivo. No obstante,
podrán aumentar, con la debida justificación técnica y
sólo para áreas específicas, esta dosis hasta 48 ton/ha. 
     Esta práctica sólo considera la bonificación del
valor del producto. 
     En el caso de suelos de secano y en los suelos de la
Región de Coquimbo, la dosis mínima a aplicar será de 8
ton/ha. Para los suelos de secano de las Regiones de
Valparaíso, Metropolitana de Santiago, del Libertador
General Bernardo O'Higgins, del Maule y del Biobío, la
dosis mínima a aplicar será de 6 ton/ha. Lo anterior aplica también en las
regiones de Ñuble y La Araucanía.
     No obstante, lo anterior, en casos de emergencia
agrícola o catástrofe declaradas por la autoridad
competente, o de emergencias calificadas por el Instituto de
Desarrollo Agropecuario de conformidad con la ley N°
18.910, las dosis mínimas a aplicar podrán ser inferiores
a las señaladas en el inciso precedente, y no se aplicará
la "Pauta Técnica para la Aplicación de Guano" a que se
refiere el inciso segundo de este numeral octavo, en
aquellas superficies o potreros afectadas por incendios.
Asimismo, en estos casos no será necesario presentar un
análisis de suelo.
     (9) Aplicación de guano rojo (kg): Se entiende por tal
al producto formado por el excremento de aves marinas,
fosilizado a través del tiempo en las costas del norte
chileno, el que se aplica en dosis de hasta 1.000
kg/ha/año, destinada al mejoramiento de las propiedades
físicas del suelo. Esta práctica sólo considera la
bonificación del valor del producto. 
     (10) Aplicación de compost (aplicación de materia
orgánica) (m3 ): Implica la aplicación y distribución de
un mínimo de 20 m3 /ha de compost, entendiendo por tal al
producto resultante del proceso de compostaje, constituido
principalmente por materia orgánica estabilizada donde no
se reconoce su origen, puesto que se encuentra degradado
generando partículas más finas y obscuras. 
     (11) Aplicación de roca fosfórica (kg): Consiste en
la aplicación de dosis equivalente no superior a 200 kg P2
O5 /ha sobre suelos de pH inferior o igual a 5,8 (medido en
agua), lo que deberá ser demostrado por el correspondiente
análisis químico de suelo. Esta práctica no es compatible
con el subprograma "Incorporación de fertilizantes de base
fosforada" ni con la práctica de "Guano rojo". 
     (12) Establecimiento e incorporación de abono verde
(ha): Mínimo 20 ton/ha (Materia Verde). Contempla los
costos derivados del cultivo de leguminosas o leguminosas
asociadas a cereales, destinadas únicamente a ser
incorporadas al suelo. Además, considera los costos del
corte e incorporación de dicho cultivo. Tratándose de superficies o potreros
afectados por incendios, en casos de emergencia agrícola o
catástrofe declaradas por la autoridad competente, o de
emergencias calificadas por el Instituto de Desarrollo
Agropecuario de conformidad con la ley N° 18.910, el
mínimo referido anteriormente será de 10 ton/ha (materia
verde).
     (13) Manejo de rastrojos (ha): Las prácticas de este
numeral implican la obligación del beneficiario de no
quemar rastrojos en ninguna parte del predio objeto del
beneficio, salvo condiciones de emergencia sanitaria
decretada por la autoridad correspondiente. Tales prácticas
son las siguientes: 

     a. Acondicionamiento rastrojo de cereal (ha): Incluye
gastos de fraccionamiento de rastrojo y aplicación de al
menos 23 unidades de nitrógeno/ha para descomposición,
excepto en la Región de Los Ríos y de Los Lagos donde
deben ser al menos 35 unidades de nitrógeno/ha. En el caso
de labranza tradicional, este valor también incluye los
costos derivados de la incorporación del rastrojo al suelo
y, en el caso de cero labranza, incluye el hilerado de
éstos. Esta práctica no es compatible con la práctica de
"Fraccionamiento de rastrojo (ha)" ni la de "Incorporación
de Rastrojo (ha)". 
     b. Acondicionamiento rastrojo de maíz (ha): Incluye
gastos de fraccionamiento de rastrojo y aplicación de al
menos 23 unidades de Nitrógeno/ha para descomposición. En
el caso de labranza tradicional, este valor también incluye
los costos derivados de la incorporación del rastrojo al
suelo y en el caso de cero labranza incluye el hilerado de
éstos. Esta práctica no es compatible con la práctica de
"Fraccionamiento de rastrojo (ha)" ni la de "Incorporación
de Rastrojo (ha)". 
     c. Fraccionamiento de rastrojo (ha): Consiste en la
utilización de maquinaria para el picado de los rastrojos,
aumentando la superficie de contacto de éstos, facilitando
de esta manera su descomposición. Incluye sólo el costo de
la maquinaria. 
     d. Incorporación de rastrojo (ha): Considera los
costos derivados de la incorporación del rastrojo al suelo.

     e. Incorporación de rastrojos de raps (ha): Consiste
en la utilización de maquinaria para el picado e
incorporado de los rastrojos al suelo. Incluye sólo el
costo de la maquinaria.

     (14) Cero labranza y cero labranza tiro animal (ha):
Sistema de siembra directa, en el cual no se realiza un
movimiento importante del suelo (ni araduras, ni rastrajes).
Considera los costos derivados del herbicida y su
aplicación, los costos de la maquinaria de siembra y los
relativos a las labores de fraccionamiento de rastrojos
explicados en el numeral 13 precedente. Esta práctica es
incompatible con la quema de rastrojos. 
     (15) Cero labranza sobre pradera (ha): Considera los
costos derivados del herbicida y su aplicación, además de
los costos relativos a la siembra (arriendo de maquinaria). 
     (16) Uso de arado cincel (ha): El objetivo de esta
práctica es descompactar el suelo. Se recomienda el paso de
este implemento a una profundidad de entre 18 y 30 cm, a
velocidad relativamente alta (más de 8 km/h), para que la
vibración de los arcos ayude a soltar el suelo sin invertir
la superficie. Considera sólo el costo de arriendo de la
maquinaria. 
     (17) Uso de subsoladores (ha): Esta práctica tiene
como objetivo romper las capas compactadas del suelo,
permitiendo de esta manera mejorar la infiltración del agua
en el suelo, las condiciones estructurales del suelo y la
capacidad de retención de humedad en el suelo. Estas
prácticas se deben realizar con tractor oruga o agrícola
equipado con subsolador. Se sugiere ejecutar las prácticas
en suelos secos a fin de mejorar la eficiencia. En caso de
que el subsolado se efectúe en terreno con marcadas
pendientes (mayor a 10%), la labor se debe efectuar
siguiendo curvas de nivel. En el Informe Técnico se deberá
especificar con claridad la profundidad de la estrata o capa
compactada que se busca romper con la aplicación de estas
prácticas. Tales prácticas son las siguientes: 

     a. Subsolador (ha): Esta práctica considera una
profundidad mínima de 40 cm y un ancho de trabajo entre 1,5
a 2 m. 
     b. Subsolador escarificador (ha): Esta práctica
considera una profundidad de trabajo entre 35 y 40
centímetros. Esta práctica se debe realizar en sentido
perpendicular a la dirección de la pendiente. Esta
práctica no es recomendable para suelos no estructurados. 

     (18) Nivelación con pala mecánica (hr): Considera un
máximo de 4 horas/hectárea para nivelación. Esta
práctica deberá justificarse técnicamente de acuerdo a lo
establecido en el Decreto Supremo Nº83/10 y sus
modificaciones, del Ministerio de Agricultura, que declara
la Clasificación de Suelos Agropecuarios y Forestales en
todo el país. 
     (19) Micronivelación manual (ha): Tiene por objetivo
proteger las hileras de siembra y ahorrar en consumo de
agua. Considera la marcación de melgas, rayado de eras,
construcción de pretiles (bordos), construcción de canales
provisorios internos y nivelación. 
     (20) Micronivelación de suelos(hr): Considera un
máximo de 2 horas/hectárea para micronivelación; esta
práctica considera pala láser o estudio topográfico. Esta
práctica deberá justificarse técnicamente de acuerdo con
lo establecido en el Decreto Supremo Nº83/10 y sus
modificaciones, del Ministerio de Agricultura, que declara
la Clasificación de Suelos Agropecuarios y Forestales en
todo el país. 
     (21) Preparación de suelos arroceros y
micronivelación con pala láser (ha): Considera las labores
de borrado de pretiles, arado cincel, rastrajes y
nivelación con pala mecánica láser. 
     (22) Construcción de murete de piedras para terrazas
de cultivo (m3 ): Corresponde a un muro de piedra, destinado
a la contención del suelo que conforma una era, andén o
terraza de cultivo. Constituye parte del patrimonio cultural
agrario de la zona norte y su función es proporcionar
estabilidad a la estructura que permite nivelar el suelo
para destinarlo a cultivo en zonas de montaña, valles y
quebradas con pendientes pronunciadas. Las dimensiones de la
estructura son variables, dependiendo de la pendiente y de
las características del suelo donde se ubica la era, andén
o terraza. Esta práctica incorpora en su costo las labores
de confección de herido y levantamiento del muro. 
     (23) Construcción pircas (m lineal): Muro de piedras
con altura mínima 90 cm. Tiene como finalidad cercar un
área determinada. 
     (24) Cerco eléctrico: 

     a. Construcción de cerco eléctrico fijo, 2 hebras (km
lineal): Para el caso de la Región de Los Lagos y de Aysén
del General Carlos Ibáñez del Campo se consideran postes
cada 6 metros y dos hebras de alambre liso. Para el caso de
la Región de Magallanes y de la Antártica Chilena, se
consideran 2 hebras de alambre liso o electrocable, con
postes distanciados a 20 metros y piquetes enterrados entre
postes a aproximadamente 6,5 m. 
     b. Construcción cerco eléctrico fijo, 3 hebras (km
lineal): Para el caso de la Región de Los Lagos, se
consideran postes cada 6 metros y tres hebras de alambre
liso; para el caso de la Región de Magallanes y de la
Antártica Chilena, se consideran 3 hebras de alambre liso o
electrocable, con postes distanciados a 20 metros y piquetes
enterrados entre postes a aproximadamente 6,5 m. 
     c. Construcción cerco eléctrico móvil, 2 hebras (km
lineal): 2 hebras de electrocable, con estacas plásticas
enterradas cada 15 m. 
     d. Construcción cerco eléctrico móvil, 3 hebras (km
lineal): 3 hebras de electrocable, con estacas plásticas
enterradas cada 15 m. 
     e. Energizador - Bajo: Capacidad de 10 a 14 km.
Considera sólo el costo del energizador. 
     f. Energizador - Medio: Capacidad de 15 a 34 km.
Considera sólo el costo del energizador.
     g. Energizador - Alto: Capacidad de 35 y más km.
Considera sólo el costo del energizador. 
     h. Panel Solar: Consiste en una unidad energética para
abastecer de energía a la batería que alimenta al
energizador. El monto para bonificar no considera la
batería. 

     (25) Construcción cerco tradicional (m lineal): El
objetivo de esta práctica está asociado exclusivamente al
manejo de praderas, teniendo como propósito central evitar
el sobretalajeo y deterioro de éstas, además de lo
anterior podrá usarse como protección de sistemas
silvopastorales, aguadas y protección para el control de
erosión de cárcavas. En consecuencia, no podrá ser
utilizado como cerco limítrofe o para la protección de
cultivos. Se exceptúan de lo anterior, las provincias de
Parinacota y Tamarugal, comunas de San Pedro de Atacama,
Ollagüe, sector Alto El Loa de la comuna de Calama, comuna
de Cabo de Hornos y localidad de Dorotea de la comuna de
Natales, donde podrá usarse como cerco limítrofe. En la
Región de Magallanes y de la Antártica Chilena, se podrá
usar como cerco de protección de establecimiento de
praderas. No obstante lo anterior, tratándose de
superficies o potreros afectados por incendios, en casos de
emergencia agrícola o catástrofe declaradas por la
autoridad competente, o de emergencias calificadas por el
Instituto de Desarrollo Agropecuario de conformidad con la
ley N° 18.910, esta práctica podrá utilizarse como cerco
limítrofe, en la medida que el área asociada tenga un
destino agropecuario y los cercos perimetrales hayan sido
afectados por el incendio.
     El detalle de las especificaciones por Región o zona
es el siguiente: 

     a. Regiones de Arica y Parinacota y de Tarapacá:
corresponde a un cerco de cinco hebras de alambre liso 14 o
mayor diámetro, con postes tensores de 3x4" distanciados
cada 12 metros y 3 postes de 1,5x2" entre claros (separados
cada 3 metros). 
     b. Regiones de Antofagasta y de Atacama: considera
cuatro hebras alambre liso más una hebra de alambre de
púas, postes cada tres metros, el uso de malla tipo 5014 es
opcional y el costo adicional es de cargo del productor. 
     c. Regiones de Coquimbo, de Valparaíso, Metropolitana
de Santiago y del Libertador General Bernardo O'Higgins:
cuatro hebras de alambre liso más dos hebras de alambre de
púas o seis hebras de alambre de púas y postes cada tres
metros. 
     d. Isla de Pascua: cuatro hebras de alambre de púas,
postes cada tres metros. e. Regiones del Maule, del Ñuble,
del Biobío, de La Araucanía y de Los Ríos: cinco hebras
de alambre de púas, postes cada 2,5 metros. 
     f. Regiones de Los Lagos y de Aysén del General Carlos
Ibáñez del Campo: cinco hebras de alambre de púas, postes
cada tres metros o seis hebras de alambre liso o cuatro
hebras de alambre liso y dos hebras alambre de púas, postes
cada tres metros, con tres varillas entre claros.
Excepcionalmente, este cerco podrá ser usado en la Región
de Magallanes y de la Antártica Chilena. El valor por metro
lineal para cualquiera de estos tipos de cerco es el
establecido para el cerco de cinco hebras y postes cada tres
metros, el uso de cerco alternativo es opcional y el costo
adicional es de cargo del productor. 
     g. Región de Magallanes y de la Antártica Chilena:
corresponde a un cerco de 7 hebras de alambre liso 14/16,
seis de alambre liso y una de alambre púas o 5 de alambre
liso y dos de púas; con distanciamiento de postes (4
pulgadas de diámetro o 4"x4", en la base y 7 pies de largo)
y piquetes (1"x1, 5"x3, 5 pies), cada 10 y 1 metros,
respectivamente. Para la construcción del cerco los postes
de Lenga pueden ser reemplazados por otro material apropiado
de mayor o igual valor, como, por ejemplo: ciprés o pino
impregnado. Asimismo, los piquetes de madera podrán ser
reemplazados por distanciadores del tipo "econet" o de
similares características y de igual o mayor valor. El
aumento de la altura del cerco y el uso de alambre de púas
es opcional y el costo adicional es de cargo del productor. 

     (26) Construcción cerco tipo malla Ursus (m lineal):
El objetivo de esta práctica está asociado exclusivamente
al manejo de praderas, teniendo como propósito central
evitar el sobretalajeo y deterioro de éstas. En
consecuencia, no podrá ser utilizado como cerco limítrofe
o para la protección de cultivos. Se exceptúan de lo
anterior, comunas de San Pedro de Atacama, Ollagüe, sector
Alto El Loa de la comuna de Calama, la comuna de Colchane,
Huara y Pica, donde podrá usarse como cerco limítrofe y de
protección de cultivos, en la Región de Magallanes y de la
Antártica Chilena donde podrá usarse como cerco de
protección de establecimiento de praderas. Podrá
reemplazarse la malla ursus por malla hexagonal, pero el
costo asociado será de cargo al beneficiario de la
práctica. No obstante lo anterior, tratándose de
superficies o potreros afectados por incendios, en casos de
emergencia agrícola o catástrofe declaradas por la
autoridad competente, o de emergencias calificadas por el
Instituto de Desarrollo Agropecuario de conformidad con la
ley N° 18.910, esta práctica podrá utilizarse como cerco
limítrofe, en la medida que el área asociada tenga un
destino agropecuario y los cercos perimetrales hayan sido
afectados por el incendio.
     El detalle de las especificaciones por Región es el
siguiente: 

     a. Regiones de Arica y Parinacota y de Tarapacá:
Postes tensores de 3x4" distanciados cada 12 metros y 3
postes de 1,5x2" entre claros (separados cada 3 metros).
Considera malla ursus de 1,4 m de alto y una hebra de
alambre de púas o bien malla ursus de 80 cm con tres hebras
de alambre de púas. 
     b. Regiones de Antofagasta, de Atacama, de Coquimbo, de
Valparaíso, Metropolitana de Santiago, del Libertador
General Bernardo O'Higgins, del Maule, de Ñuble, del
Biobío y de La Araucanía: Considera postes impregnados
cada tres metros y malla ursus de 1,4 m de alto o bien malla
ursus de 80 cm con dos hebras de alambre de púas. 
     c. Regiones de Los Ríos, de Los Lagos y de Aysén del
General Carlos Ibáñez del Campo: Estacas cada 1,5 m y
malla ursus de 1,4 m de alto o bien malla ursus de 80 cm con
dos hebras de alambre de púas. 
     d. Región de Magallanes y de la Antártica Chilena:
corresponde a un cerco de malla tipo "Ursus" de 7 hebras de
alambre y un metro de altura o una de 6 hebras de alambre
más una hebra de alambre de púa; con distanciamiento de
postes (4 pulgadas de diámetro o 4"x4", en la base y 7 pies
de largo) cada10 m y 6 piquetes (1"x1,5"x3,5 pies), entre
postes. Para la construcción del cerco los postes de Lenga
pueden ser reemplazados por otro material apropiado de mayor
o igual valor, como, por ejemplo: ciprés o pino impregnado.
Así mismo, los piquetes de madera podrán ser reemplazados
por distanciadores del tipo "econet" o de similares
características y de igual o mayor valor. El uso de alambre
de púas es opcional y el costo adicional es de cargo del
productor. 

     (27) Establecimiento de cerco vivo (m lineal): 

     a. Cerco vivo de cactáceas Región de Arica y
Parinacota: Considera 2.000 plantas de tuna por kilómetro
lineal, hoyadura, plantación y riegos post-plantación.
Además, considera la aplicación de 3 toneladas de guano
por kilómetro lineal de cerco. Esta práctica deberá
contemplar las medidas necesarias para la debida protección
de las plantas en sus primeros años de crecimiento. 
     b. Cerco vivo de cactáceas Región de Tarapacá:
Considera 2.000 brazos por km lineal, plantación de éstos
y riegos necesarios para su establecimiento. 
     c. Cerco vivo de cactáceas Región de Coquimbo y
Región Valparaíso: Considera 5.000 brazos por km lineal,
transporte y plantación de estos, postes cada tres metros
con dos hebras de alambre de púas y dos de alambre liso,
como alternativa al cerco anterior se podrán usar 2.000
plantas de tuna por kilómetro lineal, esta práctica
considera: hoyadura, plantación y riegos post-plantación.
Además, considera la aplicación de 3 toneladas de guano
por kilómetro lineal de cerco. 
     d. Cerco vivo Isla de Pascua: Considera plantas
distanciadas cada 50 cm, mano de obra y fertilizantes. 

     (28) Cortinas cortavientos (m lineal): 

     a. Cortina cortaviento de malla: 

     i. Regiones de Arica y Parinacota, de Tarapacá y de
Atacama: Barrera de largo variable con altura no inferior a
2 metros, cuya estructura está compuesta por una malla de
polietileno "tipo malla sombra" (80% de cobertura) u otra de
similares características, dispuesta sobre postes
distanciados cada tres metros. 
     ii. Isla de Pascua: Construcción de una barrera de un
largo mínimo bonificable de 4 metros, de una altura no
inferior a 3 metros, cuya estructura está compuesta por una
malla de polietileno "tipo malla sombra" (50% de cobertura)
u otra de similares características, dispuesta sobre postes
distanciados cada un metro, anclados con cemento. 
     iii. Región de Magallanes y de la Antártica Chilena:
Construcción de una barrera de un largo mínimo bonificable
de 20 metros, con una altura no inferior a dos metros, cuya
estructura esté compuesta por postes de madera de 4 x 4"x
11 pies (lenga u otro de similares características de igual
o mayor valor), distanciados a 3,4 m. La malla corresponde
al tipo LIBECCIO, BRAKE 14 u otra de similares
características de color verde o blanco. Para sujetarla se
utilizan cables de monofilamento del tipo BAYCO de 2 mm
sobre otro cable de 5 mm que sostiene la malla (45 y 50 m.
de cable, respectivamente, por 20 m. lineales de cortina),
más una malla galvanizada de rombo, de 2 m de alto. 

     b. Establecimiento de cortina cortaviento de árboles,
3 hileras: El distanciamiento máximo promedio será de 2,5
metros entre plantas y entre hileras un distanciamiento de 2
o 3 m, la plantación entre hileras debe ser en tres
bolillos, la preparación del suelo supone casillas manuales
de 0,3 m de ancho x 0,3 m de largo x 0,3 m de profundidad. 
     c. Establecimiento de cortina cortaviento de árboles,
2 hileras: El distanciamiento máximo promedio será de 2,5
metros entre plantas y entre hileras un distanciamiento de 2
o 3 m, la plantación entre hileras debe ser en tres
bolillos, la preparación del suelo supone casillas manuales
de 0,3 m de ancho x 0,3 m de largo x 0,3 m de profundidad. 

     (29) Aguadas: Es responsabilidad del beneficiario
cumplir con las disposiciones del Código de Aguas. 

     a. Construcción de aguada superficial (unidad):
Corresponde a una unidad excavada cuyo objetivo es colectar
y almacenar agua lluvia o de fuentes superficiales, para
disponer de agua de bebida para animales, especialmente
requerido en potreros con deficiencia hídrica, permitiendo
de esta manera el uso equilibrado del recurso pratense
disponible en los distintos potreros del predio. El volumen
unitario corresponde a 180 m3 con una o más entradas,
bordes ligeramente inclinados, de modo que se asegure la
estabilidad de las paredes de la excavación, o en forma de
plato. Al momento de la fiscalización, la unidad debe estar
con agua, por lo cual deberá ser impermeabilizada, en caso
de que sea necesario. Se sugiere que éstas sean protegidas
con cercos y asociadas a bebederos, con el objetivo de
mejorar la vida útil de la unidad. En el informe técnico
de la postulación se deberá fundamentar técnicamente el
número y distribución de aguadas a construir, considerando
superficie, características topográficas y cubierta
vegetacional del potrero, carga animal, unidades
preexistentes u otros aspectos que se estimen importantes.
Además, en el croquis se deberá indicar la distribución
espacial y georreferenciada de los distintos puntos de
bebida para los animales (aguadas, pozos profundos,
bebederos u otros) diferenciando las aguadas preexistentes y
las que se propone construir, señalando el volumen de cada
una de ellas. Asimismo, se deberá advertir las unidades que
se construirán a partir de aguadas preexistentes y
deterioradas. La información anterior, también deberá ser
entregada en caso de hacer inicio anticipado de la labor. Se
podrá planificar la construcción de aguadas divididas en
subunidades de acuerdo a las características de terreno u
otros que estime el Productor o recomiende el Operador, lo
que debe ser indicado en el Informe Técnico. En estos
casos, para el cálculo de la bonificación se sumará el
total del suelo removido por potrero y se determinará la
equivalencia a unidades de 180 m3 , exigiéndose la
distribución por potrero comprometida en el Plan de Manejo,
al momento de la recepción de la labor. 
     b. Construcción de aguada intermedia (unidad): 

     i. Regiones del Libertador General Bernardo O'Higgins y
del Maule: Consiste en excavar una noria de aproximadamente
2x2 metros y 7 metros de profundidad, con el objetivo de
disponer de agua de bebida para animales en potreros con
deficiencia hídrica. El valor de esta práctica se pagará
sólo bajo la condición de alumbramiento de las aguas y
obtención del caudal o volumen que se haya especificado en
el Informe Técnico que respalda el Plan de Manejo. 
     ii. Regiones de Aysén del General Carlos Ibáñez del
Campo y de Magallanes y de la Antártica Chilena: Esta labor
consiste en excavar una noria de un volumen de excavación
mínimo de 20 m3 , con bordes rectos, revestido con madera u
otro material, extrayendo el agua con algún sistema
(motobomba, molino, etc.). Se debe asociar además un
sistema de distribución del agua. El informe técnico de la
postulación deberá indicar la distribución espacial y
georreferenciada de los distintos puntos de bebida para los
animales, incluyendo tanto las unidades preexistentes como
las que se propone construir. El valor de esta práctica se
pagará sólo bajo la condición de alumbramiento de las
aguas y obtención del caudal o volumen que se haya
especificado en el Informe Técnico que respalda el Plan de
Manejo. 

     c. Construcción de aguada profunda (unidad) (20 a 40 m
y más de 40 m): Esta labor consiste en perforar un pozo
profundo de un diámetro interno no inferior a 110 mm e
instalar un sistema de extracción de agua desde el pozo
profundo, cuyo objetivo es generar un punto de
disponibilidad de agua de bebida para animales,
especialmente requerido en potreros con deficiencia
hídrica, permitiendo de esta manera el uso equilibrado del
recurso pratense disponible en los distintos potreros del
predio. Esta práctica contribuye a mejorar la distribución
de la carga animal en la pradera y así prevenir y/o
disminuir la degradación de los suelos por dos vías: por
una parte disminuir la presión de sobrepastoreo en la
pradera -y consecuentemente de erosión en el suelo situada
en las inmediaciones de los escasos puntos de bebida
existentes, y, por otro, mediante la incorporación de
praderas al pastoreo que no podían ser utilizadas por no
contar con fuentes de bebida para los animales. La
profundidad de perforación se define en dos rangos: entre
20 y 40 m. y más 40 m., lo que determinará el monto de la
labor establecida en la Tabla de Costos. De la profundidad
perforada, al menos, un 75% deberá ser entubado con PVC de
alta resistencia u otro material de calidad similar. Se debe
asociar, además, un sistema de distribución de agua y
bebederos. El informe técnico de la postulación deberá
indicar la distribución espacial y georreferenciada de los
distintos puntos de bebida para los animales, incluyendo
tanto las unidades preexistentes como las que se propone
construir. El valor de esta práctica se pagará sólo bajo
la condición de alumbramiento de las aguas y obtención del
caudal o volumen que se haya especificado en el Informe
Técnico que respalda el Plan de Manejo. 

     (30) Establecimiento de sistema de abrevaderos
(unidad): Distribución de bebederos asociados a través de
línea de conducción desde una fuente de agua. Considera la
instalación de bebederos plásticos de 500 o 1.000 litros,
según Región. El sistema de distribución corresponde a
mangueras tipo "Planza" de mínimo 1"1/4. El informe
técnico de la postulación deberá indicar la distribución
espacial y georreferenciada de los distintos puntos de
bebida para los animales, incluyendo tanto las unidades
preexistentes como las que se propone construir. 
     (31) Construcción de microterraza manual (m2 ): Obra
de regulación de flujos hídricos en laderas. Favorece una
mayor infiltración en el suelo y retiene sedimentos.
Presenta un ancho en la base de 0,5 a 1 metro, una altura de
talud entre 0,2 a 0,25 metros con una pendiente de 1:0,3 a
1:0,5. Se establece en curvas de nivel con una base
levemente inclinada (1% aproximado) hacia el borde interno.
Aguas abajo de la obra debe construirse un camellón de una
altura de 0,15 a 0,2 metros. La distancia entre líneas de
microterrazas dependerá de la inclinación del terreno y de
la degradación del suelo. El largo de las microterrazas es
variable, con una disposición continua o discontinua. Esta
práctica debe estar asociada a un tipo de cobertura
vegetacional descrita en el informe técnico. 
     (32) Construcción de canal de desviación (m lineal):
Obra de recuperación de suelo, manual o con maquinaria, que
se sitúa preferentemente en la parte superior o media de
una ladera para capturar la escorrentía procedente de las
cotas superiores. Se construye transversalmente a la
pendiente con un ligero desnivel (0,3 a 1%) para transportar
el agua a una salida estabilizada. El canal tendrá una
profundidad mínima de 35 cm, con un ancho mínimo en su
parte superior de 50 cm y un ancho mínimo en su base de 20
cm. La pendiente lateral del talud aguas abajo variará
entre 1:0,3 a 1:0,5 y la pendiente lateral del talud aguas
arriba variará entre 1:0,5 a 1:0,8. Las dimensiones deben
permitir evacuar un volumen de agua según la precipitación
de diseño. Aguas abajo de la excavación, se construye un
camellón de altura y ancho similares a la profundidad del
canal y a la anchura superior de la obra, respectivamente.
El largo es variable. El último tramo del canal corresponde
entre un cuarto y un quinto de la longitud total de la obra.
Éste se construye a nivel y sin camellón, con una sección
entre un 25 a 35% mayor que la sección en desnivel. Las
aguas del canal deben evacuar en un área receptora
estabilizada. Cuando el área receptora corresponde a un
curso de agua o quebrada estabilizada, la pendiente del
canal es variable, el último tramo debe revestirse y para
amortiguar el golpe de las aguas se construye un disipador
de energía. 
     (33) Construcción de zanja de infiltración (m
lineal): Acequias excavadas en curvas de nivel, es decir, en
forma transversal a la pendiente del terreno. Su función es
de contener el escurrimiento del agua y favorecer su
infiltración en el suelo. Presenta una sección trapezoidal
con un ancho mínimo en la boca de 50 cm y en la base de 25
cm. La profundidad efectiva mínima en la cara inferior es
de 40 cm. La tierra excavada se coloca en el borde inferior
de la zanja para darle una sobreelevación. Es recomendable
interrumpir la zanja con pequeños tabiques o espacios sin
excavar de 15 cm a lo largo de la misma con el fin de
homogeneizar la infiltración de agua. El cálculo de
distanciamiento sobre la pendiente entre líneas de zanjas
(distanciamiento vertical) deberá basarse en la
metodología recomendada por el SAG o INDAP, según donde se
presente el plan de manejo. Se excluye la construcción de
zanjas en suelos no estructurados. Para cálculos técnicos
el operador se puede basar en la ficha técnica número 5,
"Técnicas de conservación de suelos y aguas. Zanjas de
infiltración" y en el boletín N°103, de 2003, "Métodos y
prácticas de conservación de suelos y aguas", ambos del
Instituto de Investigaciones Agropecuarias (INIA). 
     (34) Dique de Postes (m2 ): Obra para el control de
cárcavas y de cursos de agua secundarios, generalmente
temporales, tales como arroyos y quebradas, que actúa por
resistencia mecánica. Consiste en una estructura de postes
verticales impregnados y horizontales de una altura efectiva
entre 0,5 a 1,5 metros. Los postes verticales se entierran
entre 0,5 a 1 metro, según el tipo de suelo y se distancian
entre 0,5 y 1,2 metros. Los postes horizontales deben
empotrarse entre 0,3 a 0,6 metros en el fondo y
lateralmente. En la parte posterior del dique para aumentar
la capacidad de retención de sedimentos, se coloca una
malla de polietileno "tipo malla sombra" (80% de cobertura
mínimo) u otra de similar calidad. Para proteger la
estructura de un eventual socavamiento, se construye un
pequeño terraplén en su parte posterior. En diques con
altura efectiva superior a 1,5 y hasta 3 metros, se deberá
colocar tirantes de alambre ancladas y rellenar de acuerdo a
las necesidades de la obra. Para evacuar la descarga, de
acuerdo con el caudal máximo estimado, se construye un
vertedero de sección trapezoidal, generalmente con un largo
entre 1/4 a 1/5 de la longitud del dique y de 0,2 a 0,4
metros de altura. Finalmente, para amortiguar el golpe de
las aguas vertidas se construye un disipador de energía de
longitud 1,3 a 1,5 veces la altura efectiva de la obra. 
     (35) Control de erosión de cárcavas. 

     a. Control al interior de la cárcava: 

     i. Barrera de sacos plásticos con suelo, semillas y
varas (unidad): Cada barrera contiene 10 sacos de plástico
o saco de malla raschel rellenos con tierra, 3 varas de 2,5
m, 9 m de alambre, 4 kg de semilla (gramíneas o
leguminosas). Las dimensiones del herido son 0,4 m x 0,3 m x
3,5 m. Labor incluye mano de obra. 
     ii. Disipador de energía (barrera pequeña de varas o
fajinas) (unidad): Cada barrera contiene 16 varas de 0,6 m.
En la construcción se utilizan estacas o rodrigones (poste
impregnado) y se alambran cada 0,5 o 1 m. en la horizontal y
se alambran a las estacas verticales que se disponen a 0,7 a
0,8 m en la horizontal, estas se deben enterrar a 0,1 m. 
     iii. Disipador de energía (barrera de neumáticos)
(unidad): Esta práctica tiene como objetivo moderar el
impacto de flujos hídricos, se debe utilizar neumáticos en
desuso de aro de entre 13" o 16" con estacas y alambre de
14".
     iv. Barreras de fardos (unidad): Se considera una
barrera de ancho variable según la base de la cárcava, 0,5
m. de espesor, 0,7 m de alto (coronamiento) y salida
vertedero 0,3 m. Se considera mano de obra. 
     v. Barreras de lampazos (unidad): Se considera una
barrera de ancho variable según la base de la cárcava y
0,7 m de alto (coronamiento) y salida vertedero 0,5 x 0,6 m.
Se considera la mano de obra.

     b. Control externo de la cárcava: 

     i. Control de bordes de cárcavas (m lineal): Se
utilizan plantas de quilo, separadas a 50 cm, 5 g de
semillas ballica perenne por metro lineal. Sin embargo, se
puede usar cualquier especie herbácea o arbustiva que se
adapte a las condiciones locales de la zona. Se considera
aporca, rastrillado y peinado; incluye la mano de obra. Al
utilizar tagasaste la distancia entre plantas debe ser de un
metro. El costo en este caso aumenta ya que considera el
valor de la planta, flete, gel, fertilizante, y un par de
riegos manuales para el establecimiento del tagasaste.
     ii.Barreras de fardos (unidad): Se considera una
barrera de ancho variable según la base de la cárcava, 0,5
m. de espesor, 0,7 m de alto (coronamiento) y salida
vertedero 0,3 m. Se considera mano de obra. 
     iii.Barreras de lampazos (unidad): Se considera una
barrera de ancho variable según la base de la cárcava y,
0,7 m de alto (coronamiento) y salida vertedero 0,5 x 0,6 m.
Se considera la mano de obra. 
     iv. Construcción de dique de Postes (m2 ): Obra para
el control de cárcavas y de cursos de agua secundarios,
generalmente temporales, tales como arroyos y quebradas, que
actúa por resistencia mecánica. Consiste en una estructura
de postes verticales impregnados y horizontales de una
altura efectiva entre 0,5 a 1,5 metros. Los postes
verticales se entierran entre 0,5 a 1 metro, según el tipo
de suelo y se distancian entre 0,5 y 1,2 metros. Los postes
horizontales deben empotrarse entre 0,3 a 0,6 metros en el
fondo y lateralmente. En la parte posterior del dique para
aumentar la capacidad de retención de sedimentos, se coloca
una malla de polietileno "tipo malla sombra" (80% de
cobertura mínimo) u otra de similar calidad. Para proteger
la estructura de un eventual socavamiento, se construye un
pequeño terraplén en su parte posterior. En diques con
altura efectiva superior a 1,5 y hasta 3 metros, se deberá
colocar tirantes de alambre anclados y rellenar de acuerdo a
las necesidades de la obra. Para evacuar la descarga, de
acuerdo con el caudal máximo estimado, se construye un
vertedero de sección trapezoidal, generalmente con un largo
entre 1/4 a 1/5 de la longitud del dique y de 0,2 a 0,4
metros de altura. Finalmente, para amortiguar el golpe de
las aguas vertidas se construye un disipador de energía de
longitud 1,3 a 1,5 veces la altura efectiva de la obra. 
     v. Control de bordes de cárcava con sacos hilerados (m
lineal): Se utilizan sacos hilerados rellenos con suelo y
semillas. Incluye mano de obra para el llenado de los sacos,
acarreo e instalación. 
     vi. Disipador de energía (barrera pequeña de varas o
fajinas) (unidad): Cada barrera contiene 16 varas de 0,6 m.
En la construcción se utilizan estacas o rodrigones (poste
impregnado) y se alambran cada 0,5 o 1 m. en la horizontal y
se alambran a las estacas verticales que se disponen a 0,7 a
0,8 m en la horizontal, estas se deben enterrar a 0,1 m. 
     Tratándose de superficies o potreros
afectados por incendios, en casos de emergencia agrícola o
catástrofe declaradas por la autoridad competente, o de
emergencias calificadas por el Instituto de Desarrollo
Agropecuario de conformidad con la ley N° 18.910, esta
práctica también podrá aplicarse para el resguardo y
protección de áreas asociadas a quebradas, aplicando lo
que resulte técnicamente pertinente a las distintas medidas
de control precedentemente indicadas, debiendo en cada una
de ellas ser justificadas en el Informe Técnico
correspondiente.

     (36) Recuperación de bofedales (ha): Consiste en el
retiro de la vegetación muerta, nivelación del terreno y
abonadura a razón de 5 toneladas de guano por hectárea.
Replante en base a trozos en buen estado del mismo bofedal a
una distancia aproximada de 15 cm. Incluye mano de obra por
riego. 
     (37) Mantención de bofedales (ha): Consiste en la
aplicación de 3 toneladas de guano por hectárea,
construcción de acequias de 20 a 30 cm de profundidad, con
un ancho de 40 cm y 2% de pendiente. 
     (38) Exclusión de potreros (ha): Práctica en suelos
afectados por erupciones volcánicas. Consiste en dejar un
área determinada sin intervención, sin pastoreo con
animales. Esta práctica se aplicará sobre suelos con
pendiente inferior a 20% y con espesor superior a 15 cm de
cenizas o bien sobre suelos con pendientes mayores a 20% y
con espesor mayor a 5 cm de cenizas. Junto al Plan de Manejo
el agricultor deberá presentar una Declaración Jurada
Notarial en la que indique el número de animales por
categoría existente en el predio al momento de postular. 
     (39) Manejo de carga animal en suelos frágiles (ha):
Tiene por objeto estimular el ajuste de la carga animal por
hectárea, haciéndola acorde con las potencialidades de los
recursos naturales y forrajeros disponibles, a fin de lograr
una explotación ganadera económica y ambientalmente
sustentable. 
     Consiste en el otorgamiento de un monto anual de
recursos económicos por animal retirado, el cual se
mantendrá por un periodo de 5 años, tiempo en el cual se
espera estabilizar una carga animal económicamente rentable
y ambientalmente sustentable. 
     Para acceder a esta práctica, el postulante deberá
presentar lo siguiente: 

     Contar con un estudio local o territorial que permita
definir o estimar la capacidad talajera del territorio donde
se ubica la explotación. Área de Aplicación: Región de
Coquimbo, Provincia de Petorca, San Felipe y Los Andes. 

     (40) Sistemas silvopastorales: 

     a. Plantación silvopastoral (ha): Implica el
financiamiento necesario para las siguientes faenas e
ítems: roce, eliminación de desechos, preparación del
suelo, desmalezado de pre y post plantación, adquisición
de plantas, plantación, fertilización, riego de
establecimiento. Respecto a la aplicación de gel, se podrá
utilizar en el secano de las regiones desde Valparaíso al
Biobío. La densidad de plantación será de 100 o 250
plantas/ha con plantas exóticas o nativas. 
     b. Protección contra lagomorfos en plantación
silvopastoral (ha): Implica la protección del 100% de las
plantas utilizando mallas, tubetes u otros medios mecánicos
de protección. 

     (41) Biofiltros (m2 ): Asociación de especies
vegetales, herbáceas, arbustivas y arbóreas, dispuestas en
franjas ubicadas a los pies de los potreros de cultivo, en
forma perpendicular a la pendiente y paralelas a los cursos
de agua. Su función es retener sedimentos y filtrar
contaminantes provenientes de la escorrentía superficial en
los campos cultivados. 

     a. Establecimiento de biofiltros para sedimentos (m2 ):
Corresponde a una franja de 10 metros de ancho en suelos con
pendientes menores a 15% y de 15 metros de ancho en suelos
con pendientes mayores o iguales a 15%. Considera una
cobertura herbácea en base a una mezcla de festuca más
ballica a razón de 70 kg/ha. 
     b. Establecimiento de biofiltros para sedimentos y
filtración de contaminantes en pendientes mayores o iguales
a 15% (m2 ): Franja de 20 metros de ancho de los cuales los
primeros 8 metros cercanos al cauce serán de especies
arbustivas y/o arbóreas, con marco de plantación de 3x2 m
en caso de árboles y de 1x1 m en caso de arbustos. Los
siguientes 12 m serán con cobertura herbácea en base a una
mezcla de festuca más ballica a razón de 70 kg/ha. 

     (42) Incorporación de cenizas y siembra de
cereales (ha): Práctica para suelos afectados por cenizas.
Para el caso de erupciones volcánicas la incorporación de
cenizas de más de 5 cm de espesor acompañado de una
siembra de cereales. Tratándose de superficies o potreros
afectados por incendios, en casos de emergencia agrícola o
catástrofe declaradas por la autoridad competente, o de
emergencias calificadas por el Instituto de Desarrollo
Agropecuario de conformidad con la ley N° 18.910, no será
requisito un espesor mínimo de cenizas en superficie.
Considera la siembra de un cereal. 
     (43) Construcción de surcos en media luna (metro
perimetral): Son estructuras de forma semicircular, donde se
levanta un camellón de suelo y piedra como murete. La
construcción se realiza con la tierra existente dentro del
área comprendida entre los arcos concéntricos, formándose
un surco que servirá como acumulador de agua para evitar
que el camellón tenga que soportar todo el volumen de agua
almacenada. 
     (44) Construcción de manavai (metro perimetral):
Estructura de piedras construidas para conservar humedad,
proteger del viento y salinidad. Existen dos tipos de
manavai: el superficial y el subterráneo. Los primeros se
construyen con muros dobles de piedra sin labrar rellenos
con grava, que sobresalen del nivel del suelo entre 1 a 1,6
metro delimitando un área de 3 a 10 metros de diámetro. El
manavai subterráneo se construye profundizando el terreno
de 0,5 a 3 metros, y delimitándola con muros simples de
rocas superpuestas. La base de estos muros es de
aproximadamente 0,8 metros. 
     (45) Inhibidores de Nitrificación (l): Esta práctica
considera el valor de un litro del producto inhibidor
aplicado al fertilizante de nitrogenado con características
amoniacales, el inhibidor debe ser de última generación
que contenga la molécula tryasol. 
     (46) Construcción de Negarim (m2 ): Son estructuras de
forma cuadrada o romboidal, rodeadas por pequeños
camellones de tierra y un orificio de infiltración en el
vértice inferior de cada una de ellas, en el que se sitúa
la planta. 
     (47) Construcción de limanes (m lineal): Es una
terraza que consiste en un semicírculo o sector circular
plano, con un murete de piedras. Presenta la pared de los
bordes entre 50 y 70 cm en la base, mientras que el
diámetro puede ser de 10 a 20 mt. Se establece
preferentemente en los piedmonts de las laderas con
pendientes entre 3 a 8%. La pendiente transversal al
interior del limán es cero y el muro de tierra es de forma
trapezoidal. El camellón alcanza una altura de 1 m y en su
construcción se debe hacer un aliviadero o desagüe a
partir de la cota máxima de colección de agua a 30 cm de
altura y con 20 cm de diámetro, para evitar rupturas en las
paredes en casos de grandes escorrentías. 
     (48) Rotación de cultivos (ha): Secuencia con que se
alternan cultivos de diversas características y exigencias,
con el fin de lograr el mejor aprovechamiento del suelo,
mejorando sus características físicas, químicas y
biológicas, sin exponerlo a agotamiento. Esta práctica
considera una rotación de tres años. El cultivo cabecera
de rotación corresponderá siempre a especie (s) leguminosa
(s), el cultivo de segundo año deberá contener un cereal
que puede ir solo o asociado a una leguminosa, el cultivo de
tercer año corresponderá a una leguminosa o una pradera
permanente de aquellas señaladas para la Región en el
subprograma de "Establecimiento de coberturas vegetales en
suelos descubiertos o con cobertura deteriorada". 
     Excepcionalmente para las regiones deArica y
Parinacota, de Tarapacá, deAntofagasta, deAtacama y de
Aysén del General Carlos Ibáñez del Campo, la rotación
podrá ser de dos años, pudiendo ser el cultivo de cabecera
una leguminosa u otra especie anual. 

     V) ELIMINACIÓN, LIMPIEZA O CONFINAMIENTO DE
IMPEDIMENTOS FÍSICOS. 

     (49) Control de Hieracium sp. y Cirsium sp. (ha): Esta
labor permite controlar malezas en forma localizada, para
frenarsu propagación. Cuando la densidad de la maleza es
muy alta (10%)se recomienda agregar la labor de
regeneración de praderas con maquinaria especializada. Se
considera aplicación manual con bomba de espalda a toda la
superficie, sin embargo, en terreno es posible evitar
sectores con abundante forraje natural. Para Hieracium
pilosela, la aplicación debe hacerse al momento de la
floración (noviembre). 
     (50) Limpia palizada muerta (ha): Corresponde a la
eliminación o confinamiento de troncos muertos. Se
consideran tres densidades, según grado de cobertura
superficial. Densidad Alta: Mayor o igual al 70%; Densidad
Media: entre 40 y 69%; Densidad Baja: entre 20 y 39%. 
     (51)Limpia matorral (ha): Determinación de la
Cobertura:

     Determinación de la Altura:

     Para el caso de la Región de Magallanes y de la
Antártica Chilena, la determinación de altura será según
la siguiente tabla:

     Determinación de la Densidad:

     Nota: Para determinar la densidad correspondiente a
mata barrosa (Mulinum spinosum), no se considerará altura. 
     Tratándose de superficies o potreros
afectados por incendios, en casos de emergencia agrícola o
catástrofe declaradas por la autoridad competente, o de
emergencias calificadas por el Instituto de Desarrollo
Agropecuario de conformidad con la ley N° 18.910, esta
práctica también podrá ser utilizada para el despeje de
áreas con restos de viñedos o huertos frutales. En tal
caso, el costo considera la remoción del material vegetal
afectado, su confinamiento o eliminación. El Informe
Técnico correspondiente deberá justificar que la
ejecución de la práctica no aumentará el riesgo de
erosión de la superficie intervenida, o en su defecto las
medidas complementarias para evitarlo.

     (52) Limpia Pica Pica (Ulex europeaus) (ha): Considera
corte, destronque y acopio del material eliminado. Considera
corte, destronque y acopio del material eliminado, en
densidades altas, medio y bajo, además, el plan de manejo
deberá contener el desarrollo de un plan productivo para el
área afecta al beneficio. 
     (53) Despedrado (ha): Corresponde a la eliminación o
confinamiento de pedregosidad superficial. Esta práctica es
incompatible con suelos que presenten una estrata de piedras
a una profundidad inferior a 40 cm, el plan de manejo
deberá contener el desarrollo de un plan productivo para el
área afecta al beneficio.
     (54) Eliminación de tocones (ha): Considera mineado,
arranque y traslado del material, además, el plan de manejo
deberá contener el desarrollo de un plan productivo para el
área afecta al beneficio.

     (55) Limpia de junquillos en suelos drenados (ha):
Involucra la eliminación de junquillos en suelos
previamente drenados. Se consideran tres densidades, según
grado de cobertura, además, el plan de manejo deberá
contener el desarrollo de un plan productivo para el área
afecta al beneficio. 

     PRÁCTICAS DE MANTENCIÓN 

     I) INCORPORACIÓN DE FERTILIZANTES DE BASE FOSFORADA. 

     (56) Aplicación de fósforo (kg P2 O5 ): Tiene por
objetivo la mantención del nivel mínimo técnico de
fósforo alcanzado. La dosis a aplicar será equivalente a
la tasa de extracción de las praderas, estimada según las
pautas técnicas elaboradas por el Director Regional
respectivo. Esta práctica sólo bonifica el valor de los
insumos a utilizar, pudiendo ser según Región, fósforo
soluble en agua, roca fosfórica o guano rojo.

     II) INCORPORACIÓN DE ELEMENTOS QUÍMICOS ESENCIALES. 

     (57) Enmiendas calcáreas (kg CaCO3 ): Tiene por
objetivo la mantención del nivel mínimo técnico
alcanzado, sea este el definido para pH o para saturación
de Aluminio, según Región. La dosis a aplicar será
estimada en base a las pautas técnicas elaboradas por el
Director Regional respectivo. 
     (58) Aplicación de potasio (kg K2 O): Tiene por
objetivo la mantención del nivel mínimo técnico de
potasio alcanzado. La dosis a aplicar será estimada en base
a las pautas técnicas elaboradas por el Director Regional
respectivo. 
     (59) Aplicación de azufre (kg S): Tiene por objetivo
la mantención del nivel mínimo técnico de azufre
alcanzado. La dosis a aplicar será estimada en base a las
pautas técnicas elaboradas por el Director Regional
respectivo.

     III) ESTABLECIMIENTO DE UNA CUBIERTA VEGETAL EN SUELOS
DESCUBIERTOS O CON COBERTURA DETERIORADA. 

     (60) Mantención de praderas (ha): Tiene por objeto la
mantención de los niveles de cobertura recuperados, a
través de la aplicación de fertilizantes, excluyendo
aquellos nitrogenados. Las dosis de fertilizantes serán
definidas, atendiendo a lo indicado en las pautas técnicas
que para este efecto defina el respectivo Director Regional.

     PRÁCTICAS DE EMERGENCIA 

     (61) Eliminación de lodos producto de aluviones con
maquinaria (hr): Corresponde al trabajo de maquinaria para
la eliminación de lodos, sedimentos, rocas y troncos que se
han producido por aluviones. 
     (62) Eliminación de lodos producto de aluviones manual
(ha): Comprende el despeje y eliminación en forma manual de
sedimentos de aproximadamente 30 cm sobre la superficie
cultivable. Además considera la eliminación de sedimento y
despeje de los canales de regadío, nivelación del terreno
y construcción de bordos. 
     (63) Limpieza de material vegetal de arrastre por
aluvión (ha): Tiene por objetivo el retiro de restos de
material vegetal arrastrados por aluvión, aumento de
caudales o desborde de río, en terrenos agrícolas
cultivables. 
     (64) Abrevaderos de emergencia (unidad): Consiste en la
construcción de un abrevadero de concreto de 5 m de largo x
1 m de ancho x 0,5 m de altura. La construcción involucra
la utilización de malla Acma, cemento, arena, flotador y
válvula de descarga. Para la Región de Coquimbo la altura
mínima del abrevadero será de 0,3 m de altura. El informe
técnico de la postulación deberá indicar la distribución
espacial y georreferenciada de los distintos puntos de
bebida para los animales 
     (65) Noria de emergencia (construcción o
profundización) (m lineal): Obra de captación de aguas
subterráneas para el propósito de consumo animal y humano,
consistente en la construcción o profundización de un pozo
excavado en forma manual o con máquina, de diámetro útil
interno entre 800 mm y 1.000 mm y una profundidad variable
hasta obtener un espesor mínimo de agua en el pozo que
permita extraer el caudal o volumen que se haya especificado
en el Informe Técnico que respalda el Plan de Manejo. El
costo de la obra considera excavación en material semiduro
a duro (tosca), agotamiento con bomba, uso de martillo
hidroneumático, suministro y colocación de los tubos de
hormigón o tubería HDPE ROSC SN1 X 1000MM. El valor por
metro terminado, se pagará sólo bajo la condición de
alumbramiento de las aguas y obtención del caudal o volumen
indicado en el informe técnico. 
     El informe técnico de la postulación deberá indicar
la distribución espacial y georreferenciada de los
distintos puntos de bebida 
     (66) Vertientes de emergencia (unidad): Confección de
muros perimetrales para canalizar el agua de la vertiente
hacia una tubería de 160 mm de diámetro. 
     Su esquema constructivo consiste en realizar dos muros
laterales con dimensiones de 2 m de longitud x 0.4 m de alto
y un espesor de 0,2 m por cada muro, ocupando una cantidad
de 0,32 m3 de hormigón para su confección. Para el soporte
de estos muros es necesario realizar una losa de fundación,
con forma trapezoidal, de dimensiones: 3,4 m de longitud
parte distal al muro frontal y 0,7 m de longitud parte
proximal al muro frontal x 1 m de ancho y un espesor de 0,2
m. El muro frontal, de donde nace una tubería de PVC de 160
mm, tiene por dimensiones: 0,3 m de largo x 0,4 m de alto x
0,2 m de ancho. Cabe mencionar que el muro es de hormigón
armado mínimo H20 (300 kg cem/m3 ) por lo que se debe
considerar enfierradura para su confección y un encofrado
(moldaje) de madera con sus respectivos materiales para su
elaboración y llenado. 
     Esta obra, incluye la instalación de un bebedero de 2
cuerpos y tubo PVC agrícola 160 mm x 6 m. Además,
considera la construcción de un cerco perimetral 30 metros
lineales de cinco hebras de alambre y postes cada 3 metros. 
     El informe técnico de la postulación deberá indicar
la distribución espacial y georreferenciada de los
distintos puntos de bebida. 
     (67) Praderas suplementarias (ha): Establecimiento de
especies forrajeras anuales, destinadas a suplir el déficit
forrajero invernal y/o estival. El nivel mínimo técnico de
estas praderas para ameritar el pago se establecerá en
función del porcentaje de cobertura vegetacional, estimada
sobre la emergencia obtenida, que para este caso será del
40%. Para este caso, no será necesario presentar un
análisis de suelo. 
     (68) Cultivos Cereales (ha): Establecimiento de
cerales, destinadas a suplir el déficit de siembras.

     2. Derógase el Decreto N°9, de 2021, del Ministerio
de Agricultura, que establece tabla de costos para el año
2021, que fija los valores de las actividades que se
bonificarán en el marco del Sistema de Incentivo para
Sustentabilidad Agroambiental de los Suelos Agropecuarios. 

NOTA El numeral 1 del Decreto 26 Exento, Agricultura, publicado el 13.03.2023, modifica la presente norma en el sentido de reemplazar los valores de dos prácticas para la Región de Magallanes y la Antártica Chilena, que forman parte del subprograma "Empleo de métodos de intervención de suelos para su conservación (II)", por los que la citada norma indica.
          
Decreto 26 EXENTO, AGRICULTURA N° 2 a) y b) D.O. 13.03.2023
Decreto 26 EXENTO, AGRICULTURA N° 2 c) D.O. 13.03.2023
Decreto 26 EXENTO, AGRICULTURA N° 2 d) D.O. 13.03.2023
Decreto 26 EXENTO, AGRICULTURA N° 2 e) D.O. 13.03.2023
Decreto 26 EXENTO, AGRICULTURA N° 2 f) D.O. 13.03.2023
Decreto 26 EXENTO, AGRICULTURA N° 2 g) D.O. 13.03.2023
Decreto 26 EXENTO, AGRICULTURA N° 2 h) D.O. 13.03.2023
          
NOTA
     Anótese, comuníquese y publíquese.- Por orden del
Presidente de la República, Esteban Valenzuela Van Treek,
Ministro de Agricultura. 
     Lo que transcribo a usted para su conocimiento.- Saluda
atentamente a usted, José Guajardo Reyes, Subsecretario de
Agricultura.
 


Volver Subir

  Adjuntar documento
Nombre del Documento *


 

Cancelar Cargar
Servicio Agrícola y Ganadero
Av. Presidente Bulnes 140,
Santiago, Chile

Condiciones de uso y política de privacidad
SAG
Servicio Agrícola y Ganadero
  Contáctenos
  600 8181 724